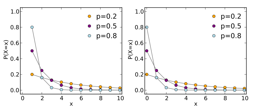
幾何分布さんの情報は 生没年不詳 幾何分布(きかぶんぷ、英: geometric distribution)は、離散確率分布で、次の2通りの定義がある。 ベルヌーイ試行を繰り返して初めて成功させるまでの試行回数 X の分布。台は {1, 2, 3, …}. ベルヌーイ試行を繰り返して初めて成功させるまでに失敗した回数 Y = X − 1 の分布。台は {0, 1, 2, 3, …}. 問題とする事柄によってこれら2つの幾何分布から都合の良い方を選ぶ。混同を避けるために幾何分布について言及するときは定義を明らかにするのが賢明である。しかし多くの場合前者(X の分布)を指す。 各成功確率 p である独立ベルヌーイ試行について Pr ( X = k ) = p ( 1 − p ) k − 1 , Pr ( X ≤ k ) = 1 − ( 1 − p ) k {\displaystyle \Pr(X=k)=p(1-p)^{k-1} Wikipediaで詳しく見る 「幾何分布」を含む検索結果 ※Wikipediaの情報から機械的に算出しています。 情報の正確性を保証するものではありません。 幾何分布 確率質量関数 累積分布関数 母数 0 < p < 1 {\displaystyle 0<p<1} (成功確率) 0 < p ≤ 1 {\displaystyle 0<p\leq 1} (成功確率) 台 { 1 , 2 , 3 , ⋯ } {\displaystyle \{1,2,3,\cdots \}} (成功するまでの試行回数) { 0 , 1 , 2 , 3 , ⋯ } {\displaystyle \{0,1,2,3,\cdots \}} (成功するまでの失敗回数) 確率質量関数 ( 1 − p ) k − 1 p {\displaystyle (1-p)^{k-1}\,p} ( 1 − p ) k p {\displaystyle (1-p)^{k}\,p} 累積分布関数 1 − ( 1 − p ) k {\displaystyle 1-(1-p)^{k}} 1 − ( 1 − p ) k + 1 {\displaystyle 1-(1-p)^{k+1}} 期待値 1 p {\displaystyle {\frac {1}{p}}} 1 − p p {\displaystyle {\frac {1-p}{p}}} 中央値 ⌈ − 1 log 2 ( 1 − p ) ⌉ {\displaystyle \left\lceil {\frac {-1}{\log _{2}(1-p)}}\right\rceil } − 1 log 2 ( 1 − p ) {\displaystyle {\frac {-1}{\log _{2}(1-p)}}} が整数でなければ唯一ではない ⌈ − 1 log 2 ( 1 − p ) ⌉ − 1 {\displaystyle \left\lceil {\frac {-1}{\log _{2}(1-p)}}\right\rceil -1} − 1 log 2 ( 1 − p ) {\displaystyle {\frac {-1}{\log _{2}(1-p)}}} が整数でなければ唯一ではない 最頻値 1 {\displaystyle 1} 0 {\displaystyle 0} 分散 1 − p p 2 {\displaystyle {\frac {1-p}{p^{2}}}} 1 − p p 2 {\displaystyle {\frac {1-p}{p^{2}}}} 歪度 2 − p 1 − p {\displaystyle {\frac {2-p}{\sqrt {1-p}}}} 2 − p 1 − p {\displaystyle {\frac {2-p}{\sqrt {1-p}}}} 尖度 6 + p 2 1 − p {\displaystyle 6+{\frac {p^{2}}{1-p}}} 6 + p 2 1 − p {\displaystyle 6+{\frac {p^{2}}{1-p}}} エントロピー − ( 1 − p ) log 2 ( 1 − p ) − p log 2 p p {\displaystyle {\tfrac {-(1-p)\log _{2}(1-p)-p\log _{2}p}{p}}} − ( 1 − p ) log 2 ( 1 − p ) − p log 2 p p {\displaystyle {\tfrac {-(1-p)\log _{2}(1-p)-p\log _{2}p}{p}}} モーメント母関数 p e t 1 − ( 1 − p ) e t {\displaystyle {\frac {pe^{t}}{1-(1-p)e^{t}}}} ,for t < − ln ( 1 − p ) {\displaystyle t<-\ln(1-p)} p 1 − ( 1 − p ) e t {\displaystyle {\frac {p}{1-(1-p)e^{t}}}} 特性関数 p e i t 1 − ( 1 − p ) e i t {\displaystyle {\frac {pe^{it}}{1-(1-p)\,e^{it}}}} p 1 − ( 1 − p ) e i t {\displaystyle {\frac {p}{1-(1-p)\,e^{it}}}} Wikipediaのカテゴリー 確率分布 「幾何分布」をWikipediaで調べる 「幾何分布」さんについての一言コメント まだコメントはありません。 お名前 コメント内容 (必須) コメントを投稿する トップ > 幾何分布 さん \ SHARE / Twitter Facebook Line
「幾何分布」さんについての
一言コメント
まだコメントはありません。